CausalMixGPD
  • Home
  • Roadmaps
    • Website roadmap
    • Package roadmap
  • Start
    • Start Hub
    • Roadmap
    • Usage Diagrams
    • Start Here
    • Basic Compile and Run
    • Backends and Workflow
    • Troubleshooting
  • Tracks
    • Quickstart
    • Modeling (1-arm)
    • Causal
    • Clustering
    • Kernels & tails
    • Customization
  • Examples
  • Kernels
  • Advanced
  • Developers
  • Reference
    • Reference hub
    • Function reference by job
  • News
  • Cite
  • Coverage
  • API Reference

ex01. Unconditional DPM (CRP Backend)

Website workflow note. This page reflects the current exported API and recommended wrapper-first usage. Last updated: 2026-02-19.

For the full package narrative, see the main package vignettes (basic, unconditional, conditional, and causal).

Unconditional DPmix: Chinese Restaurant Process (CRP)

What you’ll learn

  • Fit a bulk-only one-arm model with dpmix() using the CRP backend.
  • Use the package’s S3 surface (summary(), plot(), predict()) to diagnose and extract posterior predictive summaries.

When to use this template

  • You have a single outcome (y) and want a flexible density model without covariates (X).
  • You do not need tail splicing (GPD = FALSE).
  • You want adaptive clustering behavior via CRP (within a finite components cap).

Goal (in one sentence)

Estimate the density of a univariate outcome (y) using a Dirichlet-process mixture with a Chinese Restaurant Process backend.

Model: \(y_i | G \sim \int K(y_i; \theta) dG(\theta)\) where \(G \sim \text{DP}(\alpha, G_0)\)

Backend: CRP with truncation at max components


Data Setup

Code
# Load pre-generated dataset: 200 observations from mixture of 3 gamma components
data("nc_pos200_k3")
y_mixed <- nc_pos200_k3$y

paste("Sample size:", length(y_mixed))
[1] "Sample size: 200"
Code
paste("Mean:", mean(y_mixed))
[1] "Mean: 4.21476750434594"
Code
paste("SD:", sd(y_mixed))
[1] "SD: 4.10835046697183"
Code
paste("Range:", paste(range(y_mixed), collapse = " to "))
[1] "Range: 0.0403111680208858 to 19.6013451514889"
Code
# Visualization
df_data <- data.frame(y = y_mixed)
p_raw <- ggplot(df_data, aes(x = y)) +
  geom_histogram(aes(y = after_stat(density)), bins = 30, alpha = 0.6, fill = "steelblue",color = "black") +
  geom_density(color = "red", linewidth = 1) +
  labs(title = "Raw Data: Mixed Gamma Distribution", x = "y", y = "Density") +
  theme_minimal()

print(p_raw)


Model Specification & Bundle

This page keeps the direct bundle() workflow because it is still useful for showing how the unconditional CRP specification is assembled before fitting.

Code
bundle_crp <- bundle(
  y = y_mixed,
  kernel = "laplace",
  backend = "crp",
  GPD = FALSE,
  components = 3,
  alpha_random = TRUE,
  mcmc = mcmc
)

Summary of MCMC Bundle

Code
summary(bundle_crp)
CausalMixGPD bundle summary
      Field                      Value
    Backend Chinese Restaurant Process
     Kernel       Laplace Distribution
 Components                          3
          N                        200
          X                         NO
        GPD                      FALSE
    Epsilon                      0.025

Parameter specification
         block  parameter mode           level                  prior link
          meta    backend info           model                    crp     
          meta     kernel info           model                laplace     
          meta components info           model                      3     
          meta          N info           model                    200     
          meta          P info           model                      0     
 concentration      alpha dist          scalar gamma(shape=1, rate=1)     
          bulk   location dist component (1:3)   normal(mean=0, sd=5)     
          bulk      scale dist component (1:3) gamma(shape=2, rate=1)     
                    notes
                         
                         
                         
                         
                         
 stochastic concentration
    iid across components
    iid across components

Monitors
  n = 4 
  alpha, z[1:200], location[1:3], scale[1:3]

Running MCMC

Code
fit_crp <- load_or_fit("ex01-unconditional-dpm-crp-fit_crp", dpmix(bundle_crp))

Summary of Fitted MCMC model

Code
summary(fit_crp)
MixGPD summary | backend: Chinese Restaurant Process | kernel: Laplace Distribution | GPD tail: FALSE | epsilon: 0.025
n = 200 | components = 3
Summary
Initial components: 3 | Components after truncation: 3

WAIC: 918.867
lppd: -350.425 | pWAIC: 109.009

Summary table
   parameter  mean    sd q0.025 q0.500 q0.975    ess
  weights[1] 0.417 0.037   0.36  0.415  0.491 33.764
  weights[2] 0.355 0.032  0.299   0.35  0.415  59.97
  weights[3] 0.229 0.054  0.125  0.238  0.315 33.929
       alpha  0.51 0.313  0.121  0.447  1.261    150
 location[1] 5.795  2.24  1.026  6.739  7.819 17.997
 location[2] 2.387 2.454   0.89  1.109  7.844 30.481
 location[3]  2.48  0.68  0.618  2.697  3.034  12.19
    scale[1] 0.534  0.46  0.259   0.33    1.7 19.738
    scale[2] 1.479  0.66  0.281  1.687  2.457 48.891
    scale[3] 1.477 0.567  0.781  1.316   2.78  26.65
Code
params_crp <- params(fit_crp)
params_crp
Posterior mean parameters

$alpha
[1] 0.5099

$w
[1] 0.4167 0.3548 0.2285

$location
[1] 5.795 2.387 2.480

$scale
[1] 0.5344 1.4790 1.4770

MCMC Diagnostics Plots

Code
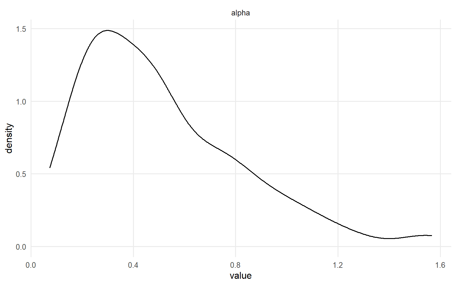
# Trace plots for key parameters
plot(fit_crp, params = "alpha", family = c("traceplot", "density", "geweke"))

=== traceplot ===


=== density ===


=== geweke ===


Posterior Predictions

Predictive Density

Code
# Generate prediction grid
y_grid <- seq(0, max(y_mixed) * 1.2, length.out = 200)

# Posterior predictive density
pred_density <- predict(fit_crp, y = y_grid, type = "density")

# Use S3 plot method
plot(pred_density)

Quantile Predictions

Code
# Posterior predictive quantiles with credible intervals
quantiles_pred <- predict(fit_crp, type = "quantile", p = c(0.05, 0.25, 0.5, 0.75, 0.95),
                          interval = "credible")

# Use S3 plot method
plot(quantiles_pred)


Varying Truncation Level (components)

Code
# Demonstrate with one value
bundle_components <- bundle(
  y = y_mixed,
  kernel = "laplace",
  backend = "crp",
  components = 5,
  mcmc = mcmc
)
fit_components <- load_or_fit("ex01-unconditional-dpm-crp-fit_components", dpmix(bundle_components))
Code
summary(fit_components)
MixGPD summary | backend: Chinese Restaurant Process | kernel: Laplace Distribution | GPD tail: FALSE | epsilon: 0.025
n = 200 | components = 5
Summary
Initial components: 5 | Components after truncation: 3

WAIC: 873.554
lppd: -291.702 | pWAIC: 145.075

Summary table
   parameter  mean    sd q0.025 q0.500 q0.975    ess
  weights[1] 0.351 0.058  0.264  0.335   0.49 24.589
  weights[2] 0.268 0.042  0.195   0.27  0.346 31.995
  weights[3] 0.201 0.042   0.11    0.2  0.281   9.12
       alpha 0.808 0.442  0.183  0.722   1.78    150
 location[1]   3.2 2.543  0.803  2.349  7.961 10.681
 location[2] 4.566 3.273  0.741  2.824  9.893 11.698
 location[3] 4.393 3.496  0.423  2.691   10.3 22.648
    scale[1] 1.215 0.686  0.269  1.162  2.352 11.444
    scale[2] 1.129 0.793   0.25  1.044  2.791 22.497
    scale[3] 1.486 1.113   0.28  1.291  3.987 19.074

For unconditional models, use predict() for posterior summaries; fitted() and residuals() are not supported.


Model Comparison: Different Kernels

Laplace Kernel (Current)

Code
bundle_laplace <- bundle(
  y = y_mixed,
  kernel = "laplace",
  backend = "crp",
  components = 5,
  mcmc = mcmc
)
fit_laplace <- load_or_fit("ex01-unconditional-dpm-crp-fit_laplace", dpmix(bundle_laplace))
Code
summary(fit_laplace)
MixGPD summary | backend: Chinese Restaurant Process | kernel: Laplace Distribution | GPD tail: FALSE | epsilon: 0.025
n = 200 | components = 5
Summary
Initial components: 5 | Components after truncation: 3

WAIC: 900.436
lppd: -326.205 | pWAIC: 124.013

Summary table
   parameter  mean    sd q0.025 q0.500 q0.975     ess
  weights[1] 0.403 0.042  0.307  0.405  0.475  24.123
  weights[2] 0.323 0.052  0.229  0.325  0.411   6.766
  weights[3] 0.223 0.047  0.119  0.225  0.301  18.724
       alpha 0.755 0.431  0.178  0.654  1.752 100.851
 location[1] 6.039 2.085   1.15  6.827  7.776  37.299
 location[2] 2.794 2.148  0.795  2.305  7.416  37.024
 location[3] 1.564 1.098  0.491  1.159  2.745   13.27
    scale[1]  0.51 0.421  0.269  0.337  1.773  58.471
    scale[2] 1.284 0.585  0.313  1.274  2.392  50.835
    scale[3] 2.073 0.819  0.846  2.082  3.777  24.931

Amoroso Kernel (Alternative)

Code
bundle_amoroso <- bundle(
  y = y_mixed,
  kernel = "amoroso",
  backend = "crp",
  components = 5,
  mcmc = mcmc
)
fit_amoroso <- load_or_fit("ex01-unconditional-dpm-crp-fit_amoroso", dpmix(bundle_amoroso))
Code
summary(fit_amoroso)
MixGPD summary | backend: Chinese Restaurant Process | kernel: Amoroso Distribution | GPD tail: FALSE | epsilon: 0.025
n = 200 | components = 5
Summary
Initial components: 5 | Components after truncation: 2

WAIC: 819.477
lppd: -356.289 | pWAIC: 53.45

Summary table
  parameter   mean    sd q0.025 q0.500 q0.975    ess
 weights[1]  0.637  0.08  0.505  0.647  0.781  5.601
 weights[2]   0.35 0.082  0.204  0.345  0.485  5.217
      alpha  0.549 0.351  0.057  0.487  1.345 72.953
     loc[1] -0.002  0.22 -0.112  0.028   0.04 36.674
     loc[2]  1.774  1.34 -1.356  2.098   3.74  3.383
   scale[1]  2.931  0.52  1.629  3.022  3.749 16.876
   scale[2]  1.673 0.644   0.86  1.519  3.202   5.92
  shape1[1]  0.647 0.668  0.233  0.603  0.918 52.106
  shape1[2]   3.76 1.042  1.923  3.856  5.836   7.17
  shape2[1]  2.362 1.173  1.278  1.966  4.822   1.52
  shape2[2]  0.977 0.403  0.803  0.945  1.024 58.526

Model Comparison via Predictions

Code
# Compare models using predict() (fitted/residuals not supported for unconditional)
pred_laplace <- predict(fit_laplace, type = "mean", level = 0.9, interval = "credible")
pred_amoroso <- predict(fit_amoroso, type = "mean", level = 0.9, interval = "credible")
Code
# For unconditional models, fitted() is not supported; use predict() for comparisons (see pred_laplace, pred_amoroso above).

Key Takeaways

  • CRP Backend: Flexible cluster assignment, ideal for unknown mixture complexity
  • components Parameter: A higher components cap allows more represented mixture components but increases computation
  • Kernel Choice: Laplace and Amoroso illustrate two different bulk-kernel choices for the same unconditional CRP workflow
  • Diagnostics: Check convergence (Rhat, ESS) and posterior predictive fit
  • Next: Compare with Stick-Breaking (SB) backend in ex02

Workflow Navigation

  • Previous: backends-and-workflow
  • Next: ex02-unconditional-dpm-sb
  • Workflow index: Roadmap
  • Practical entry: Examples

Prereqs

  • Required packages and data for this page are listed in the setup chunks above.

Outputs

  • This page renders model fits, diagnostics, and summary artifacts generated by package APIs.

Interpretation

  • Canonical concept page: Model Umbrella
  • Treat this page as an application/example view and use the canonical page for core definitions.

Next

  • Continue to the linked canonical concept page, then return for implementation-specific details.
(c) CausalMixGPD - Bayesian semiparametric modeling for heavy-tailed data
- - Cite - API - GitHub