CausalMixGPD
  • Home
  • Roadmaps
    • Website roadmap
    • Package roadmap
  • Start
    • Start Hub
    • Roadmap
    • Usage Diagrams
    • Start Here
    • Basic Compile and Run
    • Backends and Workflow
    • Troubleshooting
  • Tracks
    • Quickstart
    • Modeling (1-arm)
    • Causal
    • Clustering
    • Kernels & tails
    • Customization
  • Examples
  • Kernels
  • Advanced
  • Developers
  • Reference
    • Reference hub
    • Function reference by job
  • News
  • Cite
  • Coverage
  • API Reference

ex10. Causal (X, no PS, SB Backend) - InvGauss/Amoroso

Website workflow note. This page reflects the current exported API and recommended wrapper-first usage. Last updated: 2026-02-19.

For the full package narrative, see the main package vignettes (basic, unconditional, conditional, and causal).

Causal Inference: X Without PS (CRP+SB)

What you’ll learn

  • How to run the causal workflow with outcome models conditional on X while disabling propensity-score estimation.
  • How to compare causal fits that differ in backend/tail specification while keeping the same evaluation pattern.
  • How tail augmentation can change effect behavior in extremes even when mean effects are similar.

When to use this template

  • Treatment assignment is plausibly ignorable given (X), but you want to avoid PS modeling (or you already handled PS externally).
  • You want causal summaries beyond the mean (quantile/conditional effects) and need flexible outcome distributions.

Key limitation (important)

With PS disabled, you rely entirely on the outcome models for adjustment. If overlap/positivity is weak, effects can be unstable; use diagnostic plots and sensitivity checks.

What this page does

This vignette uses covariates X but disables PS estimation. Outcome models are conditional on X only.

  • Model A: CRP with GPD tail (InvGauss)
  • Model B: SB bulk-only (Amoroso)

Data Setup

Code
data("causal_alt_real500_p4_k2")
y <- abs(causal_alt_real500_p4_k2$y) + 0.01
A <- causal_alt_real500_p4_k2$A
X <- as.matrix(causal_alt_real500_p4_k2$X)

summary_tbl <- tibble(
  statistic = c("N", "Mean", "SD", "Min", "Max"),
  value = c(length(y), mean(y), sd(y), min(y), max(y))
)

summary_tbl %>%
  mutate(value = signif(value, 4)) %>%
  print()
# A tibble: 5 × 2
  statistic    value
  <chr>        <dbl>
1 N         500     
2 Mean        1.43  
3 SD          1.08  
4 Min         0.0126
5 Max         8.10  
Code
x_eval <- X[seq_len(if (isTRUE(FAST)) 20L else 40L), , drop = FALSE]
y_eval <- y[seq_len(if (isTRUE(FAST)) 20L else 40L)]
u_threshold <- as.numeric(stats::quantile(y, 0.8, names = FALSE))

Model A: CRP with GPD Tail (InvGauss)

Code
param_specs_gpd <- list(
  gpd = list(
    threshold = list(
      mode = "dist",
      dist = "lognormal",
      args = list(meanlog = log(max(u_threshold, .Machine$double.eps)), sdlog = 0.25)
    )
  )
)

bundle_crp_gpd <- bundle(
  y = y,
  treat = A,
  X = X,
  kernel = "invgauss",
  backend = "crp",
  PS = FALSE,
  GPD = TRUE,
  components = components_ex10,
  param_specs = param_specs_gpd,
  mcmc_outcome = gpd_mcmc_ex10
)

bundle_crp_gpd
CausalMixGPD causal bundle
PS model: disabled 
      Field                    Treated                    Control
    Backend Chinese Restaurant Process Chinese Restaurant Process
     Kernel                   invgauss                   invgauss
 Components                          3                          3
   GPD tail                       TRUE                       TRUE
    Epsilon                      0.025                      0.025

Outcome PS included: FALSE 
n (control) = 232 | n (treated) = 268 
Code
fit_crp_gpd <- load_or_fit(
  tag_crp_gpd_ex10,
  quiet_mcmc(dpmgpd.causal(bundle_crp_gpd, mcmc = causal_run_mcmc_gpd))
)
summary(fit_crp_gpd)

-- Outcome fits --
[control]
MixGPD summary | backend: Chinese Restaurant Process | kernel: Inverse Gaussian Distribution | GPD tail: TRUE | epsilon: 0.025
n = 232 | components = 3
Summary
Initial components: 3 | Components after truncation: 2

WAIC: 546.944
lppd: -217.344 | pWAIC: 56.128

Summary table
          parameter   mean    sd q0.025 q0.500 q0.975
         weights[1]  0.786 0.038  0.718  0.791  0.841
         weights[2]  0.209 0.037  0.159  0.207  0.282
              alpha  0.357 0.213  0.077  0.302  0.841
 beta_tail_scale[1]   0.28  0.18  -0.02  0.255  0.603
 beta_tail_scale[2]  0.195 0.178 -0.065  0.184  0.505
 beta_tail_scale[3] -0.101 0.184 -0.393 -0.154  0.262
 beta_tail_scale[4] -0.244 0.241 -0.644 -0.252  0.244
         tail_shape  -0.04 0.146 -0.273      0  0.094
          threshold  2.162 0.154  1.937  2.201  2.338
           shape[1]  2.236 0.233  2.038  2.138  2.793
           shape[2]  0.115 0.044  0.105  0.105  0.304
     beta_mean[1,1] -0.043 0.074 -0.084  -0.08  0.139
     beta_mean[1,2]  0.026 0.159 -0.142 -0.008  0.269
     beta_mean[1,3]  -0.09 0.065 -0.184 -0.102   0.03
     beta_mean[1,4]  1.135 0.289  0.823  0.954  1.586
     beta_mean[2,1] -1.173 0.904 -2.248  -1.39  0.462
     beta_mean[2,2]  0.614 1.553  -1.77   1.35  2.494
     beta_mean[2,3]  0.091  0.69 -0.753  -0.12   1.79
     beta_mean[2,4]  1.313  1.15 -0.807  1.151  3.828

[treated]
MixGPD summary | backend: Chinese Restaurant Process | kernel: Inverse Gaussian Distribution | GPD tail: TRUE | epsilon: 0.025
n = 268 | components = 3
Summary
Initial components: 3 | Components after truncation: 2

WAIC: 687.091
lppd: -279.342 | pWAIC: 64.203

Summary table
          parameter   mean    sd q0.025 q0.500 q0.975
         weights[1]  0.566   0.1  0.405  0.562  0.705
         weights[2]  0.278 0.037  0.199  0.287  0.336
              alpha  0.478 0.325  0.105  0.377  1.312
 beta_tail_scale[1]  0.093 0.104 -0.091  0.099  0.276
 beta_tail_scale[2] -0.306 0.184 -0.631 -0.304  0.015
 beta_tail_scale[3]  0.145 0.131  -0.08  0.146  0.384
 beta_tail_scale[4] -0.253 0.176 -0.563 -0.253  0.006
         tail_shape  0.131 0.039  0.118  0.118  0.211
          threshold  1.844 0.022  1.827  1.846   1.92
           shape[1]   4.23 0.664  3.097  4.146  5.167
           shape[2]  0.683 0.827  0.344  0.391  2.847
     beta_mean[1,1]  0.147 0.113 -0.027  0.124  0.444
     beta_mean[1,2]  0.011 0.188 -0.258  0.022  0.479
     beta_mean[1,3]   0.12 0.094 -0.009  0.168  0.218
     beta_mean[1,4]  0.824 0.158  0.508  0.928  1.045
     beta_mean[2,1]  0.208 0.762 -1.037  0.423  1.254
     beta_mean[2,2]  0.457 0.848 -0.881  0.239  1.991
     beta_mean[2,3] -0.461 0.421 -0.996 -0.566  0.531
     beta_mean[2,4]  3.303 1.437   1.19  3.205  6.499
Code
pred_mean_gpd <- predict(fit_crp_gpd, newdata =x_eval, type = "mean", interval = "credible", nsim_mean = nsim_mean_ex10, workers = predict_workers_ex10)
head(pred_mean_gpd)
  id   estimate       lower      upper ps
1  1 -0.2083179 -0.20481274 -0.2639351 NA
2  2  0.4299061  0.45288968  0.5572087 NA
3  3  0.1158216  0.03103019  0.0387017 NA
4  4  0.3499168  0.34100946  0.3467114 NA
5  5  0.4280034  0.22920705  0.7094891 NA
6  6 -0.1593793 -0.23139663 -0.1937984 NA
Code
plot(pred_mean_gpd)

Code
pred_q_gpd <- predict(fit_crp_gpd, newdata =x_eval, type = "quantile", p = 0.5, interval = "credible", workers = predict_workers_ex10)
head(pred_q_gpd)
  id index   estimate        lower     upper ps
1  1   0.5 -0.2024612 -0.643757163 0.2534793 NA
2  2   0.5  0.5032918 -0.039530411 0.9325876 NA
3  3   0.5  0.1632186 -0.039999890 0.3523306 NA
4  4   0.5  0.3195488  0.007008614 0.5643056 NA
5  5   0.5  0.3707602 -0.147378610 0.9139362 NA
6  6   0.5 -0.1295272 -0.543372568 0.2291409 NA
Code
plot(pred_q_gpd)

Code
pred_d_gpd <- predict(fit_crp_gpd, newdata =x_eval, y = y_eval, type = "density", interval = "credible", workers = predict_workers_ex10)
head(pred_d_gpd)
  id         y ps trt_estimate  trt_lower  trt_upper con_estimate   con_lower
1  1 0.9001906 NA            1 0.52005205 0.78654587            1 0.340322514
2  2 1.3517565 NA            2 0.22232640 0.36916870            2 0.215781428
3  3 1.1475287 NA            3 0.39042611 0.59454783            3 0.364201377
4  4 1.9323578 NA            4 0.14833396 0.37497010            4 0.089300740
5  5 3.3439817 NA            5 0.01794577 0.09188462            5 0.007626843
6  6 0.9493979 NA            6 0.39431892 0.67622888            6 0.283734659
   con_upper
1 0.55348752
2 0.30829613
3 0.44897341
4 0.17351620
5 0.06223276
6 0.41043697
Code
plot(pred_d_gpd)

Code
pred_surv_gpd <- predict(fit_crp_gpd, newdata =x_eval, y = y_eval, type = "survival", interval = "credible", workers = predict_workers_ex10)
head(pred_surv_gpd)
  id         y ps trt_estimate  trt_lower trt_upper con_estimate   con_lower
1  1 0.9001906 NA            1 0.29563848 0.6315753            1 0.449066507
2  2 1.3517565 NA            2 0.53551640 0.7078222            2 0.375844076
3  3 1.1475287 NA            3 0.27835622 0.4863513            3 0.277646812
4  4 1.9323578 NA            4 0.16230978 0.2945905            4 0.065737383
5  5 3.3439817 NA            5 0.01687154 0.1472445            5 0.002588767
6  6 0.9493979 NA            6 0.54425046 0.7600436            6 0.583436140
   con_upper
1 0.66543589
2 0.56010245
3 0.41725541
4 0.23065454
5 0.07403769
6 0.68538734
Code
plot(pred_surv_gpd)

Code
att_gpd <- att(fit_crp_gpd, interval = "credible", nsim_mean = nsim_mean_ex10)
head(att_gpd)
$fit
[1] 0.09847238

$fit_df
    estimate       lower     upper
1 0.09847238 -0.06769027 0.3409388

$lower
[1] -0.06769027

$upper
[1] 0.3409388

$ate
$ate$fit
    estimate       lower     upper
1 0.09847238 -0.06769027 0.3409388

$ate$draws
              [,1]
 [1,] -0.015279864
 [2,] -0.222619521
 [3,] -0.012500788
 [4,]  0.036229098
 [5,] -0.007891257
 [6,] -0.073792323
 [7,] -0.020868546
 [8,]  0.067060033
 [9,]  0.088625979
[10,]  0.056981240
[11,]  0.134056821
[12,]  0.034148477
[13,]  0.243139845
[14,]  0.204827748
[15,]  0.096482620
[16,]  0.103432260
[17,]  0.163395876
[18,]  0.167237960
[19,]  0.051856840
[20,]  0.099112127
[21,]  0.116698775
[22,]  0.049345997
[23,]  0.013947294
[24,]  0.212172630
[25,] -0.060945900
[26,]  0.063166757
[27,]  0.041157685
[28,]  0.022192677
[29,] -0.012496410
[30,] -0.019329813
[31,] -0.049135094
[32,]  0.044597431
[33,]  0.251808330
[34,]  0.282585302
[35,]  0.113664156
[36,] -0.013727345
[37,]  0.069355782
[38,] -0.034164176
[39,] -0.042042074
[40,]  0.065311221
[41,]  0.156921337
[42,]  0.250488290
[43,] -0.011378157
[44,]  0.157449167
[45,]  0.059780410
[46,]  0.064199306
[47,]  0.084262530
[48,]  0.245464775
[49,]  0.309166971
[50,]  0.340292822
[51,]  0.359583631
[52,]  0.218120549
[53,]  0.230558293
[54,]  0.341523276
[55,]  0.193561612
[56,]  0.100268047
[57,] -0.019036697
[58,]  0.085088502
[59,]  0.261957241
[60,]  0.172272803


$grid
NULL
Code
plot(att_gpd)

Code
qtt_gpd <- qtt(fit_crp_gpd, probs = c(0.25, 0.5, 0.75), interval = "credible")
head(qtt_gpd)
$fit
  index    estimate       lower     upper
1  0.25  0.17270432 -0.07889603 0.4250001
2  0.50  0.19139716 -0.55257196 0.8816509
3  0.75 -0.09985004 -0.57517407 0.3992333

$fit_df
  index    estimate       lower     upper
1  0.25  0.17270432 -0.07889603 0.4250001
2  0.50  0.19139716 -0.55257196 0.8816509
3  0.75 -0.09985004 -0.57517407 0.3992333

$lower
[1] -0.07889603 -0.55257196 -0.57517407

$upper
[1] 0.4250001 0.8816509 0.3992333

$qte
$qte$fit
  index    estimate       lower     upper
1  0.25  0.17270432 -0.07889603 0.4250001
2  0.50  0.19139716 -0.55257196 0.8816509
3  0.75 -0.09985004 -0.57517407 0.3992333

$qte$draws
, , 1

               [,1]
 [1,]  0.1287629791
 [2,] -0.1332456252
 [3,]  0.0303336012
 [4,] -0.0184126278
 [5,] -0.0193407294
 [6,] -0.0343073323
 [7,]  0.0086856266
 [8,]  0.2455021374
 [9,]  0.1937363934
[10,]  0.2587364507
[11,]  0.1832300251
[12,]  0.2060050759
[13,]  0.2342316412
[14,]  0.2240440824
[15,]  0.2610187324
[16,]  0.2865283574
[17,]  0.3270466410
[18,]  0.3523919852
[19,]  0.3738278154
[20,]  0.2559115494
[21,]  0.1774994291
[22,]  0.1811404731
[23,]  0.0039228043
[24,]  0.2912818762
[25,]  0.0946364319
[26,]  0.1387677086
[27,]  0.0426923925
[28,] -0.0618880886
[29,] -0.0942841633
[30,]  0.0393527873
[31,]  0.1506993825
[32,]  0.1773688647
[33,]  0.2827492349
[34,]  0.3048613636
[35,]  0.1878716395
[36,]  0.0001280459
[37,]  0.0259096352
[38,]  0.0328451108
[39,] -0.0611695272
[40,]  0.1811980530
[41,]  0.3195630237
[42,]  0.1904094799
[43,] -0.0085487156
[44,]  0.3017957765
[45,]  0.3263986781
[46,]  0.0095750997
[47,] -0.0152571492
[48,]  0.3283926775
[49,]  0.4406240698
[50,]  0.3539425185
[51,]  0.3674717267
[52,]  0.1909473598
[53,]  0.4164770600
[54,]  0.3959569032
[55,]  0.3654314617
[56,]  0.1348144967
[57,]  0.1495632509
[58,] -0.0027853762
[59,]  0.4327113775
[60,]  0.2045050004

, , 2

             [,1]
 [1,] -0.05661537
 [2,] -0.38296149
 [3,]  0.18046696
 [4,]  0.07126461
 [5,]  0.02666179
 [6,] -0.37718641
 [7,] -0.35336540
 [8,]  0.59679425
 [9,]  0.38786398
[10,]  0.59178232
[11,]  0.55829702
[12,]  0.48718922
[13,]  0.53481636
[14,]  0.51472751
[15,]  0.64403570
[16,]  0.48734074
[17,]  0.52672166
[18,]  0.38109749
[19,]  0.53765255
[20,]  0.31192325
[21,]  0.03260523
[22,]  0.16571383
[23,]  0.35600833
[24,]  0.25736513
[25,]  0.49431465
[26,]  0.27350717
[27,] -0.09735138
[28,] -0.12642415
[29,] -0.59498826
[30,] -0.60338652
[31,] -0.24120519
[32,]  0.11931928
[33,]  0.20452304
[34,]  0.29077214
[35,] -0.17550763
[36,] -0.16904331
[37,] -0.26575729
[38,]  0.02990274
[39,] -0.44058177
[40,] -0.21021453
[41,] -0.08347455
[42,]  0.02607906
[43,] -0.50569079
[44,] -0.01409299
[45,]  0.36588857
[46,]  0.09086234
[47,] -0.08357356
[48,]  0.38926359
[49,]  0.51426764
[50,]  0.50679719
[51,]  0.75059088
[52,]  0.03744930
[53,]  0.94098923
[54,]  0.88477862
[55,]  0.68018352
[56,]  0.24615700
[57,]  0.16264838
[58,] -0.04916649
[59,]  0.87819404
[60,]  0.77760011

, , 3

               [,1]
 [1,] -0.4156390441
 [2,] -0.3979544016
 [3,]  0.1864923993
 [4,] -0.1158334980
 [5,] -0.2543406067
 [6,] -0.1533826190
 [7,] -0.0835053305
 [8,] -0.0238024246
 [9,] -0.1372273029
[10,] -0.0845652455
[11,]  0.2473862975
[12,] -0.1541927597
[13,]  0.0642517269
[14,]  0.0394808504
[15,] -0.2203044377
[16,] -0.5503861385
[17,]  0.0821251880
[18,] -0.0671572545
[19,] -0.2722840432
[20,]  0.0239177199
[21,] -0.3788684946
[22,] -0.1698056531
[23,] -0.0621853727
[24,] -0.1756100103
[25,] -0.1738214783
[26,] -0.1889882676
[27,] -0.0759817333
[28,] -0.0098277802
[29,] -0.5976012457
[30,] -0.5044798468
[31,] -0.3197143548
[32,]  0.0435991303
[33,] -0.0102651298
[34,] -0.0973713251
[35,] -0.0775018136
[36,] -0.1905600132
[37,] -0.1390878377
[38,] -0.2466176731
[39,] -0.4358974768
[40,] -0.4885181643
[41,]  0.0612279426
[42,] -0.0068211441
[43,] -0.7174678578
[44,] -0.1307587403
[45,]  0.1632387303
[46,] -0.0002681153
[47,] -0.3939357136
[48,]  0.2191277678
[49,]  0.3303920445
[50,]  0.0363143711
[51,]  0.2520918968
[52,]  0.2350462384
[53,]  0.0403480683
[54,]  0.3874045624
[55,]  0.0956619237
[56,] -0.1702222530
[57,] -0.1431654327
[58,] -0.5296427806
[59,]  0.4099355421
[60,]  0.4565157643



$probs
[1] 0.25 0.50 0.75
Code
plot(qtt_gpd)


Model B: SB Bulk-only (Amoroso)

Code
bundle_sb_bulk <- bundle(
  y = y,
  treat = A,
  X = X,
  kernel = "amoroso",
  backend = "sb",
  PS = FALSE,
  GPD = FALSE,
  components = components_ex10,
  mcmc_outcome = bulk_mcmc_ex10
)

bundle_sb_bulk
CausalMixGPD causal bundle
PS model: disabled 
      Field                Treated                Control
    Backend Stick-Breaking Process Stick-Breaking Process
     Kernel                amoroso                amoroso
 Components                      3                      3
   GPD tail                  FALSE                  FALSE
    Epsilon                  0.025                  0.025

Outcome PS included: FALSE 
n (control) = 232 | n (treated) = 268 
Code
fit_sb_bulk <- load_or_fit(
  tag_sb_bulk_ex10,
  quiet_mcmc(dpmix.causal(bundle_sb_bulk, mcmc = causal_run_mcmc_bulk))
)
summary(fit_sb_bulk)

-- Outcome fits --
[control]
MixGPD summary | backend: Stick-Breaking Process | kernel: Amoroso Distribution | GPD tail: FALSE | epsilon: 0.025
n = 232 | components = 3
Summary
Initial components: 3 | Components after truncation: 3

Summary table
       parameter   mean    sd q0.025 q0.500 q0.975
      weights[1]    0.5 0.032  0.488  0.488  0.585
      weights[2]  0.289 0.038  0.213  0.308  0.321
      weights[3]  0.211 0.025  0.191  0.202  0.254
           alpha  1.255 0.747  0.403  1.145  2.718
       shape1[1]    0.9 0.132   0.77   0.87  1.147
       shape1[2]  2.171 0.323   1.74  2.187  2.947
       shape1[3]  3.332 0.621  2.338  3.366  4.378
       shape2[1]  1.185 0.173  0.927  1.236  1.429
       shape2[2]  1.299 0.401  1.093  1.216  3.138
       shape2[3]  2.942 0.446  1.216  3.085  3.248
   beta_loc[1,1]      0     0      0      0      0
   beta_loc[1,2]      0     0      0      0      0
   beta_loc[1,3]      0     0      0      0      0
   beta_loc[1,4]      0     0      0      0      0
   beta_loc[2,1]      0     0      0      0      0
   beta_loc[2,2]      0     0      0      0      0
   beta_loc[2,3]      0     0      0      0      0
   beta_loc[2,4]      0     0      0      0      0
   beta_loc[3,1]      0     0      0      0      0
   beta_loc[3,2]      0     0      0      0      0
   beta_loc[3,3]      0     0      0      0      0
   beta_loc[3,4]      0     0      0      0      0
 beta_scale[1,1] -0.031 0.134 -0.336  -0.02   0.21
 beta_scale[1,2] -0.305 0.222 -0.694  -0.31   0.17
 beta_scale[1,3] -0.059 0.126 -0.267  -0.07   0.21
 beta_scale[1,4]  0.172 0.391 -0.545  0.226  0.748
 beta_scale[2,1]   0.21 0.177 -0.119  0.192  0.672
 beta_scale[2,2]  0.342 0.208 -0.078  0.326  0.762
 beta_scale[2,3] -0.048 0.088 -0.206 -0.051  0.085
 beta_scale[2,4] -0.169 0.385 -1.062 -0.177  0.528
 beta_scale[3,1] -0.127 0.073 -0.244 -0.137  0.088
 beta_scale[3,2] -0.099 0.118 -0.225 -0.127  0.269
 beta_scale[3,3]  0.034 0.069 -0.111  0.045  0.152
 beta_scale[3,4]  0.414 0.211  -0.39  0.448  0.681

[treated]
MixGPD summary | backend: Stick-Breaking Process | kernel: Amoroso Distribution | GPD tail: FALSE | epsilon: 0.025
n = 268 | components = 3
Summary
Initial components: 3 | Components after truncation: 3

Summary table
       parameter   mean    sd q0.025 q0.500 q0.975
      weights[1]  0.431 0.029   0.39  0.429  0.489
      weights[2]  0.381 0.011  0.352  0.389  0.389
      weights[3]  0.188 0.036  0.122  0.194  0.257
           alpha  1.649 0.735  0.255  1.513  3.229
       shape1[1]  1.407 0.374  0.913  1.271  2.191
       shape1[2]  2.141 0.306  1.095  2.221  2.462
       shape1[3]  1.726 0.457   1.05   1.91  2.308
       shape2[1]  1.383 0.134  1.189    1.4  1.715
       shape2[2]  1.495 0.121  1.393    1.5  1.883
       shape2[3]  0.853 0.077   0.69   0.87  0.954
   beta_loc[1,1]      0     0      0      0      0
   beta_loc[1,2]      0     0      0      0      0
   beta_loc[1,3]      0     0      0      0      0
   beta_loc[1,4]      0     0      0      0      0
   beta_loc[2,1]      0     0      0      0      0
   beta_loc[2,2]      0     0      0      0      0
   beta_loc[2,3]      0     0      0      0      0
   beta_loc[2,4]      0     0      0      0      0
   beta_loc[3,1]      0     0      0      0      0
   beta_loc[3,2]      0     0      0      0      0
   beta_loc[3,3]      0     0      0      0      0
   beta_loc[3,4]      0     0      0      0      0
 beta_scale[1,1]  0.021 0.143  -0.24   0.03  0.252
 beta_scale[1,2]  0.109 0.277 -0.416  0.136  0.567
 beta_scale[1,3] -0.123 0.188 -0.376 -0.169    0.3
 beta_scale[1,4]  0.253  0.22 -0.079  0.254  0.637
 beta_scale[2,1] -0.087  0.09 -0.236 -0.089  0.118
 beta_scale[2,2] -0.171 0.307 -0.542 -0.252  0.661
 beta_scale[2,3]    0.3 0.185 -0.179  0.346  0.534
 beta_scale[2,4]  0.158 0.144 -0.117  0.137  0.565
 beta_scale[3,1]  0.029 0.385 -0.604 -0.012  0.778
 beta_scale[3,2]   -0.1 0.478 -0.944 -0.128  0.792
 beta_scale[3,3] -0.042 0.257 -0.518 -0.003  0.425
 beta_scale[3,4] -0.871 0.695 -2.075 -0.843  0.363
Code
pred_mean_bulk <- predict(fit_sb_bulk, newdata =x_eval, type = "mean", interval = "credible", nsim_mean = nsim_mean_ex10, workers = predict_workers_ex10)
head(pred_mean_bulk)
  id    estimate       lower        upper ps
1  1 0.018796788 -0.04220241 -0.054109015 NA
2  2 0.220257543  0.19060980  0.238670583 NA
3  3 0.009106138  0.13795207 -0.086632614 NA
4  4 0.250474778  0.33353061  0.366750593 NA
5  5 0.623733045  0.47954650  0.917300205 NA
6  6 0.006877309  0.01167569 -0.009368928 NA
Code
plot(pred_mean_bulk)

Code
pred_q_bulk <- predict(fit_sb_bulk, newdata =x_eval, type = "quantile", p = 0.5, interval = "credible", workers = predict_workers_ex10)
head(pred_q_bulk)
  id index    estimate      lower     upper ps
1  1   0.5 -0.07632893 -0.4371972 0.3490505 NA
2  2   0.5  0.07230318 -0.3065777 0.4840868 NA
3  3   0.5  0.04028022 -0.1748914 0.2791915 NA
4  4   0.5  0.18537734 -0.1436805 0.4759454 NA
5  5   0.5  0.34618415 -0.1809036 0.8818743 NA
6  6   0.5 -0.09990753 -0.3474807 0.1673068 NA
Code
plot(pred_q_bulk)

Code
pred_d_bulk <- predict(fit_sb_bulk, newdata =x_eval, y = y_eval, type = "density", interval = "credible", workers = predict_workers_ex10)
head(pred_d_bulk)
  id         y ps trt_estimate  trt_lower trt_upper con_estimate  con_lower
1  1 0.9001906 NA            1 0.39768819 0.6786124            1 0.29903935
2  2 1.3517565 NA            2 0.24388238 0.4881761            2 0.21057718
3  3 1.1475287 NA            3 0.45632334 0.5798971            3 0.37361634
4  4 1.9323578 NA            4 0.21313001 0.3490534            4 0.13538138
5  5 3.3439817 NA            5 0.06210731 0.1521166            5 0.01648154
6  6 0.9493979 NA            6 0.44165049 0.5665514            6 0.27559040
   con_upper
1 0.43169610
2 0.50669354
3 0.61532199
4 0.40986958
5 0.07097451
6 0.42247395
Code
plot(pred_d_bulk)

Code
pred_surv_bulk <- predict(fit_sb_bulk, newdata =x_eval, y = y_eval, type = "survival", interval = "credible", workers = predict_workers_ex10)
head(pred_surv_bulk)
  id         y ps trt_estimate trt_lower trt_upper con_estimate  con_lower
1  1 0.9001906 NA            1 0.5482779 0.7653811            1 0.54222635
2  2 1.3517565 NA            2 0.4270570 0.6136765            2 0.40147708
3  3 1.1475287 NA            3 0.4348044 0.5973510            3 0.40647107
4  4 1.9323578 NA            4 0.2270964 0.3952450            4 0.09544257
5  5 3.3439817 NA            5 0.0474621 0.3106530            5 0.01193598
6  6 0.9493979 NA            6 0.5655855 0.7037081            6 0.53826126
  con_upper
1 0.7254776
2 0.6026171
3 0.5937754
4 0.2928773
5 0.1532955
6 0.6992092
Code
plot(pred_surv_bulk)

Code
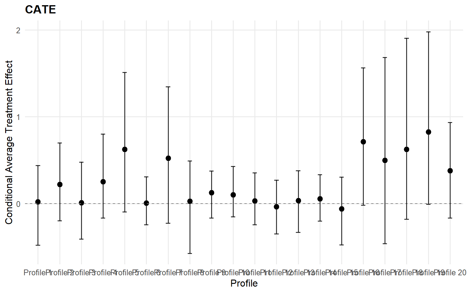
cate_bulk <- cate(fit_sb_bulk, newdata = x_eval, interval = "credible", nsim_mean = nsim_mean_ex10)
head(format_cate_table(cate_bulk))
  id index    estimate       lower     upper
1  1     1 0.018796788 -0.47866010 0.4387606
2  2     1 0.220257543 -0.19853405 0.6999444
3  3     1 0.009106138 -0.40763481 0.4775009
4  4     1 0.250474778 -0.16551352 0.8009572
5  5     1 0.623733045 -0.09514537 1.5117428
6  6     1 0.006877309 -0.24431407 0.3080974
Code
plot(cate_bulk)

Code
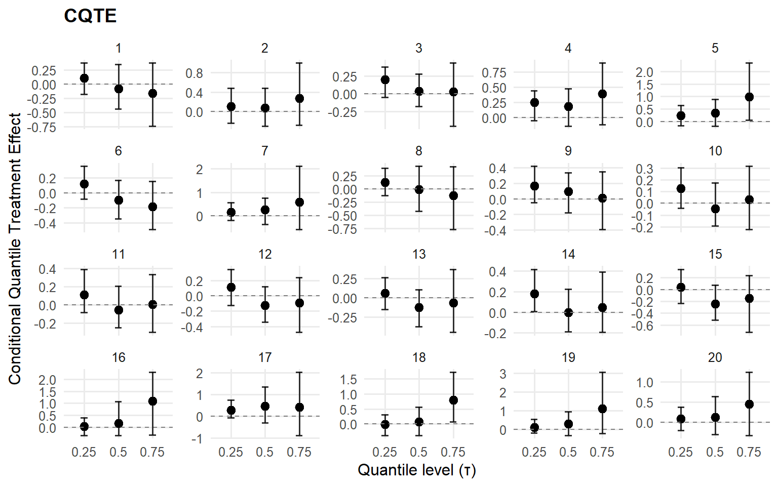
cqte_bulk <- cqte(fit_sb_bulk, probs = c(0.25, 0.5, 0.75), newdata = x_eval, interval = "credible")
head(format_cqte_table(cqte_bulk))
  id index    estimate      lower     upper
1  1     1  0.10873915 -0.1756041 0.3722602
2  1     2 -0.07632893 -0.4371972 0.3490505
3  1     3 -0.15646853 -0.7383346 0.3753857
4  2     1  0.10525782 -0.2434054 0.4828703
5  2     2  0.07230318 -0.3065777 0.4840868
6  2     3  0.26761938 -0.2893173 1.0024245
Code
plot(cqte_bulk)


Workflow Navigation

  • Previous: ex09-causal-no-x-crp
  • Next: ex11-causal-same-backend-crp
  • Workflow index: Roadmap
  • Practical entry: Examples

Prereqs

  • Required packages and data for this page are listed in the setup chunks above.

Outputs

  • This page renders model fits, diagnostics, and summary artifacts generated by package APIs.

Interpretation

  • Canonical concept page: 03 Causal Inference Objects
  • Treat this page as an application/example view and use the canonical page for core definitions.

Next

  • Continue to the linked canonical concept page, then return for implementation-specific details.
(c) CausalMixGPD - Bayesian semiparametric modeling for heavy-tailed data
- - Cite - API - GitHub