CausalMixGPD
  • Home
  • Roadmaps
    • Website roadmap
    • Package roadmap
  • Start
    • Start Hub
    • Roadmap
    • Usage Diagrams
    • Start Here
    • Basic Compile and Run
    • Backends and Workflow
    • Troubleshooting
  • Tracks
    • Quickstart
    • Modeling (1-arm)
    • Causal
    • Clustering
    • Kernels & tails
    • Customization
  • Examples
  • Kernels
  • Advanced
  • Developers
  • Reference
    • Reference hub
    • Function reference by job
  • News
  • Cite
  • Coverage
  • API Reference

ex13. Causal (Different backends, CRP Backend) - Cauchy Kernel

Website workflow note. This page reflects the current exported API and recommended wrapper-first usage. Last updated: 2026-02-19.

For the full package narrative, see the main package vignettes (basic, unconditional, conditional, and causal).

Causal Inference: Mixed Backends (Bulk-only) - Cauchy Kernel

This vignette fits two mixed-backend causal models with a shared Cauchy kernel:

  • Model A: Treated = SB, Control = CRP
  • Model B: Treated = CRP, Control = SB

What you’ll learn

  • How to specify arm-specific backends (treated vs control) within one causal bundle.
  • How to interpret causal predictions/effects when the two potential-outcome models have different partition structures.
  • How to keep the comparison focused on backend differences by using a shared kernel and GPD = FALSE.

When to use this template

  • You suspect treated and control outcomes differ in ways that make one backend preferable for one arm.
  • You want to study how much causal estimands change under backend asymmetry while keeping tail modeling off.

Next steps

  • Turn on tail augmentation (mixed-backend + GPD = TRUE) when extremes plausibly drive effect heterogeneity.
  • Because the Cauchy kernel does not have a finite mean, this page uses median and upper-quantile predictions, plus restricted-mean causal effects.

Data Setup

Code
data("causal_alt_real500_p4_k2")
y <- causal_alt_real500_p4_k2$y
A <- causal_alt_real500_p4_k2$A
X <- as.matrix(causal_alt_real500_p4_k2$X)

summary_tbl <- tibble(
  statistic = c("N", "Mean", "SD", "Min", "Max"),
  value = c(length(y), mean(y), sd(y), min(y), max(y))
)

summary_tbl
# A tibble: 5 × 2
  statistic   value
  <chr>       <dbl>
1 N         500    
2 Mean        0.274
3 SD          1.76 
4 Min        -8.09 
5 Max         5.27 
Code
x_eval <- X[seq_len(if (isTRUE(FAST)) 20L else 40L), , drop = FALSE]
y_eval <- y[seq_len(if (isTRUE(FAST)) 20L else 40L)]
Code
df_causal <- data.frame(y = y, A = as.factor(A), x1 = X[, 1])

p_scatter <- ggplot(df_causal, aes(x = x1, y = y, color = A)) +
  geom_point(alpha = 0.5) +
  labs(title = "Outcome vs X1", x = "X1", y = "y", color = "Treatment") +
  theme_minimal()

p_scatter


Model A: Treated SB, Control CRP (Cauchy)

Code
bundle_sb_crp <- bundle(
  y = y,
  treat = A,
  X = X,
  kernel = c("cauchy", "cauchy"),
  backend = c("sb", "crp"),
  PS = "logit",
  GPD = c(FALSE, FALSE),
  components = components_ex13,
  mcmc_outcome = bulk_mcmc_ex13,
  mcmc_ps = mcmc_ps_ex13
)

bundle_sb_crp
CausalMixGPD causal bundle
PS model: Bayesian logit (A | X) 
      Field                Treated                    Control
    Backend Stick-Breaking Process Chinese Restaurant Process
     Kernel                 cauchy                     cauchy
 Components                      3                          3
   GPD tail                  FALSE                      FALSE
    Epsilon                  0.025                      0.025

Outcome PS included: TRUE 
n (control) = 232 | n (treated) = 268 
Code
summary(bundle_sb_crp)
CausalMixGPD causal bundle summary
CausalMixGPD causal bundle
PS model: Bayesian logit (A | X) 
      Field                Treated                    Control
    Backend Stick-Breaking Process Chinese Restaurant Process
     Kernel                 cauchy                     cauchy
 Components                      3                          3
   GPD tail                  FALSE                      FALSE
    Epsilon                  0.025                      0.025

Outcome PS included: TRUE 
n (control) = 232 | n (treated) = 268 
Code
fit_sb_crp <- load_or_fit(
  tag_sb_crp_ex13,
  quiet_mcmc(dpmix.causal(bundle_sb_crp, mcmc = causal_run_mcmc))
)
summary(fit_sb_crp)
-- PS fit --
CausalMixGPD PS fit summary
model: logit 
n = 500 | predictors = 5
Monitors: beta 

Summary table
 parameter   mean    sd q0.025 q0.500 q0.975
   beta[1]  0.031 0.186 -0.234 -0.009  0.456
   beta[2]  0.463  0.13  0.168  0.524  0.646
   beta[3]   0.41 0.209  0.103  0.461   0.82
   beta[4] -0.185 0.075 -0.281 -0.117 -0.116
   beta[5]  0.235 0.305  -0.42  0.247   0.74

-- Outcome fits --
[control]
MixGPD summary | backend: Chinese Restaurant Process | kernel: Cauchy Distribution | GPD tail: FALSE | epsilon: 0.025
n = 232 | components = 3
Summary
Initial components: 3 | Components after truncation: 3

WAIC: 942.038
lppd: -361.955 | pWAIC: 109.064

Summary table
          parameter   mean    sd q0.025 q0.500 q0.975
         weights[1]  0.453 0.063  0.358  0.455  0.599
         weights[2]   0.36 0.036  0.297  0.358  0.427
         weights[3]  0.187 0.071  0.066  0.183  0.306
              alpha  0.449 0.306  0.103  0.368  1.077
           scale[1]  0.701 0.149  0.466  0.697  1.046
           scale[2]  0.647 0.152  0.382  0.653  0.986
           scale[3]  0.622 0.173  0.339  0.626  0.978
 beta_location[1,1]  -0.27 0.557 -1.096 -0.037   0.39
 beta_location[1,2]  0.119 0.347 -0.529  0.119  0.703
 beta_location[1,3] -0.242 0.232 -0.688 -0.208   0.02
 beta_location[1,4]  0.732 1.441 -0.916 -0.146  2.485
 beta_location[2,1] -0.321 0.458 -0.934 -0.375  0.341
 beta_location[2,2] -0.071 0.462 -0.873 -0.067  0.713
 beta_location[2,3] -0.177 0.214 -0.551 -0.113  0.058
 beta_location[2,4]  0.669 1.532  -1.44  1.824  2.329
 beta_location[3,1]  0.258 0.309 -0.366  0.289    0.7
 beta_location[3,2] -0.478 0.467 -1.265 -0.559  0.713
 beta_location[3,3]  0.069  0.32 -0.522  0.058  0.773
 beta_location[3,4] -0.584 0.678 -1.429 -0.885  1.572

[treated]
MixGPD summary | backend: Stick-Breaking Process | kernel: Cauchy Distribution | GPD tail: FALSE | epsilon: 0.025
n = 268 | components = 3
Summary
Initial components: 3 | Components after truncation: 3

Summary table
          parameter  mean    sd q0.025 q0.500 q0.975
         weights[1] 0.664 0.043  0.593   0.66  0.741
         weights[2] 0.201 0.033  0.154  0.203   0.27
         weights[3] 0.135 0.025  0.088  0.136  0.182
              alpha 1.272 0.641  0.129  1.147   2.63
           scale[1]  1.16 0.109  0.971  1.162  1.343
           scale[2] 1.199 0.251   0.74   1.19  1.699
           scale[3] 1.311  0.38  0.747  1.232  2.277
 beta_location[1,1]     0     0      0      0      0
 beta_location[1,2]     0     0      0      0      0
 beta_location[1,3]     0     0      0      0      0
 beta_location[1,4]     0     0      0      0      0
 beta_location[2,1]     0     0      0      0      0
 beta_location[2,2]     0     0      0      0      0
 beta_location[2,3]     0     0      0      0      0
 beta_location[2,4]     0     0      0      0      0
 beta_location[3,1]     0     0      0      0      0
 beta_location[3,2]     0     0      0      0      0
 beta_location[3,3]     0     0      0      0      0
 beta_location[3,4]     0     0      0      0      0
Code
params(fit_sb_crp)
Posterior mean parameters (causal)

[ps]
Posterior mean parameters

$beta
[1]  0.03087  0.46270  0.40980 -0.18530  0.23550

[treated]
Posterior mean parameters

$alpha
[1] 1.272

$w
[1] 0.6642 0.2008 0.1350

$beta_location
      PropScore x1 x2 x3 x4
comp1         0  0  0  0  0
comp2         0  0  0  0  0
comp3         0  0  0  0  0

$scale
[1] 1.160 1.199 1.311

[control]
Posterior mean parameters

$alpha
[1] 0.4488

$w
[1] 0.4528 0.3599 0.1873

$beta_location
      PropScore      x1       x2       x3      x4
comp1    0.1207 -0.2704  0.11890 -0.24190  0.7316
comp2    0.1856 -0.3205 -0.07111 -0.17740  0.6692
comp3   -0.9230  0.2583 -0.47790  0.06883 -0.5837

$scale
[1] 0.7009 0.6470 0.6218
Code
plot(fit_sb_crp, family = plot_family_sb_crp_ex13)

=== treated ===

=== traceplot ===


=== control ===

=== traceplot ===

Code
pred_median_sb_crp <- predict(
  fit_sb_crp,
  newdata =x_eval,
  type = "quantile",
  p = 0.5,
  interval = "credible",
  workers = predict_workers_ex13
)
plot(pred_median_sb_crp)

Code
pred_q_sb_crp <- predict(fit_sb_crp, newdata =x_eval, type = "quantile",
                         p = 0.9, interval = "credible", workers = predict_workers_ex13)
plot(pred_q_sb_crp)

Code
pred_d_sb_crp <- predict(fit_sb_crp, newdata =x_eval, y = y_eval,
                         type = "density", interval = "credible", workers = predict_workers_ex13)
plot(pred_d_sb_crp)

Code
pred_surv_sb_crp <- predict(fit_sb_crp, newdata =x_eval, y = y_eval,
                            type = "survival", interval = "credible", workers = predict_workers_ex13)
plot(pred_surv_sb_crp)

Code
att_sb_crp <- att(
  fit_sb_crp,
  type = "rmean",
  cutoff = rmean_cutoff_ex13,
  interval = "credible",
  nsim_mean = nsim_mean_ex13
)
plot(att_sb_crp)

Code
qtt_sb_crp <- qtt(fit_sb_crp, probs = c(0.25, 0.5, 0.75), interval = "credible")
plot(qtt_sb_crp)


Model B: Treated CRP, Control SB (Cauchy)

Code
bundle_crp_sb <- bundle(
  y = y,
  treat = A,
  X = X,
  kernel = c("cauchy", "cauchy"),
  backend = c("crp", "sb"),
  PS = "logit",
  GPD = c(FALSE, FALSE),
  components = components_ex13,
  mcmc_outcome = bulk_mcmc_ex13_b,
  mcmc_ps = mcmc_ps_ex13_b
)

bundle_crp_sb
CausalMixGPD causal bundle
PS model: Bayesian logit (A | X) 
      Field                    Treated                Control
    Backend Chinese Restaurant Process Stick-Breaking Process
     Kernel                     cauchy                 cauchy
 Components                          3                      3
   GPD tail                      FALSE                  FALSE
    Epsilon                      0.025                  0.025

Outcome PS included: TRUE 
n (control) = 232 | n (treated) = 268 
Code
summary(bundle_crp_sb)
CausalMixGPD causal bundle summary
CausalMixGPD causal bundle
PS model: Bayesian logit (A | X) 
      Field                    Treated                Control
    Backend Chinese Restaurant Process Stick-Breaking Process
     Kernel                     cauchy                 cauchy
 Components                          3                      3
   GPD tail                      FALSE                  FALSE
    Epsilon                      0.025                  0.025

Outcome PS included: TRUE 
n (control) = 232 | n (treated) = 268 
Code
fit_crp_sb <- load_or_fit(
  tag_crp_sb_ex13,
  quiet_mcmc(dpmix.causal(bundle_crp_sb, mcmc = causal_run_mcmc))
)
summary(fit_crp_sb)
-- PS fit --
CausalMixGPD PS fit summary
model: logit 
n = 500 | predictors = 5
Monitors: beta 

Summary table
 parameter   mean    sd q0.025 q0.500 q0.975
   beta[1]  0.059 0.092 -0.056  0.067  0.264
   beta[2]  0.458 0.116  0.215  0.456  0.586
   beta[3]  0.258 0.166  0.041    0.2  0.544
   beta[4] -0.167 0.093 -0.315 -0.128 -0.028
   beta[5]   0.26 0.156 -0.142  0.348  0.458

-- Outcome fits --
[control]
MixGPD summary | backend: Stick-Breaking Process | kernel: Cauchy Distribution | GPD tail: FALSE | epsilon: 0.025
n = 232 | components = 3
Summary
Initial components: 3 | Components after truncation: 3

Summary table
          parameter  mean    sd q0.025 q0.500 q0.975
         weights[1]  0.76 0.006  0.747  0.762  0.767
         weights[2] 0.166 0.016   0.14  0.174  0.185
         weights[3] 0.073 0.018  0.053  0.061  0.098
              alpha 0.731 0.343  0.152  0.683  1.473
           scale[1] 1.078 0.109   0.87  1.093  1.245
           scale[2] 1.187 0.413   0.57  1.176  2.408
           scale[3] 1.098 0.471  0.526  1.024  2.012
 beta_location[1,1]     0     0      0      0      0
 beta_location[1,2]     0     0      0      0      0
 beta_location[1,3]     0     0      0      0      0
 beta_location[1,4]     0     0      0      0      0
 beta_location[2,1]     0     0      0      0      0
 beta_location[2,2]     0     0      0      0      0
 beta_location[2,3]     0     0      0      0      0
 beta_location[2,4]     0     0      0      0      0
 beta_location[3,1]     0     0      0      0      0
 beta_location[3,2]     0     0      0      0      0
 beta_location[3,3]     0     0      0      0      0
 beta_location[3,4]     0     0      0      0      0

[treated]
MixGPD summary | backend: Chinese Restaurant Process | kernel: Cauchy Distribution | GPD tail: FALSE | epsilon: 0.025
n = 268 | components = 3
Summary
Initial components: 3 | Components after truncation: 2

WAIC: 1160.258
lppd: -448.99 | pWAIC: 131.139

Summary table
          parameter  mean    sd q0.025 q0.500 q0.975
         weights[1] 0.515 0.064  0.415  0.513  0.637
         weights[2] 0.397 0.058  0.255  0.403  0.481
              alpha 0.427  0.33   0.07   0.35  1.496
           scale[1] 0.826 0.168  0.541  0.821  1.125
           scale[2]  0.69 0.169  0.448  0.647  1.134
 beta_location[1,1] 0.118 0.241 -0.309  0.123  0.523
 beta_location[1,2] 0.345 0.885 -0.912  0.135   1.71
 beta_location[1,3] 0.002 0.439 -0.739    0.1  0.648
 beta_location[1,4] 0.525 0.497 -0.418  0.667  1.177
 beta_location[2,1] 0.235 0.324 -0.348  0.229  0.713
 beta_location[2,2] 0.348 0.975 -1.214  0.042  1.668
 beta_location[2,3] -0.14 0.468 -0.739    0.1  0.398
 beta_location[2,4] 0.313 0.516  -0.41  0.369  1.195
Code
params(fit_crp_sb)
Posterior mean parameters (causal)

[ps]
Posterior mean parameters

$beta
[1]  0.05896  0.45800  0.25750 -0.16720  0.26020

[treated]
Posterior mean parameters

$alpha
[1] 0.427

$w
[1] 0.5148 0.3970

$beta_location
      PropScore     x1     x2        x3     x4
comp1   -0.3378 0.1177 0.3445  0.001586 0.5255
comp2   -0.3749 0.2346 0.3484 -0.140100 0.3132

$scale
[1] 0.8260 0.6899

[control]
Posterior mean parameters

$alpha
[1] 0.7308

$w
[1] 0.76030 0.16640 0.07332

$beta_location
      PropScore x1 x2 x3 x4
comp1         0  0  0  0  0
comp2         0  0  0  0  0
comp3         0  0  0  0  0

$scale
[1] 1.078 1.187 1.098
Code
plot(fit_crp_sb, family = plot_family_crp_sb_ex13)

=== treated ===

=== density ===


=== control ===

=== density ===

Code
pred_median_crp_sb <- predict(
  fit_crp_sb,
  newdata =x_eval,
  type = "quantile",
  p = 0.5,
  interval = "credible",
  workers = predict_workers_ex13
)
plot(pred_median_crp_sb)

Code
pred_q_crp_sb <- predict(fit_crp_sb, newdata =x_eval, type = "quantile",
                         p = 0.9, interval = "credible", workers = predict_workers_ex13)
plot(pred_q_crp_sb)

Code
pred_d_crp_sb <- predict(fit_crp_sb, newdata =x_eval, y = y_eval,
                         type = "density", interval = "credible", workers = predict_workers_ex13)
plot(pred_d_crp_sb)

Code
pred_surv_crp_sb <- predict(fit_crp_sb, newdata =x_eval, y = y_eval,
                            type = "survival", interval = "credible", workers = predict_workers_ex13)
plot(pred_surv_crp_sb)

Code
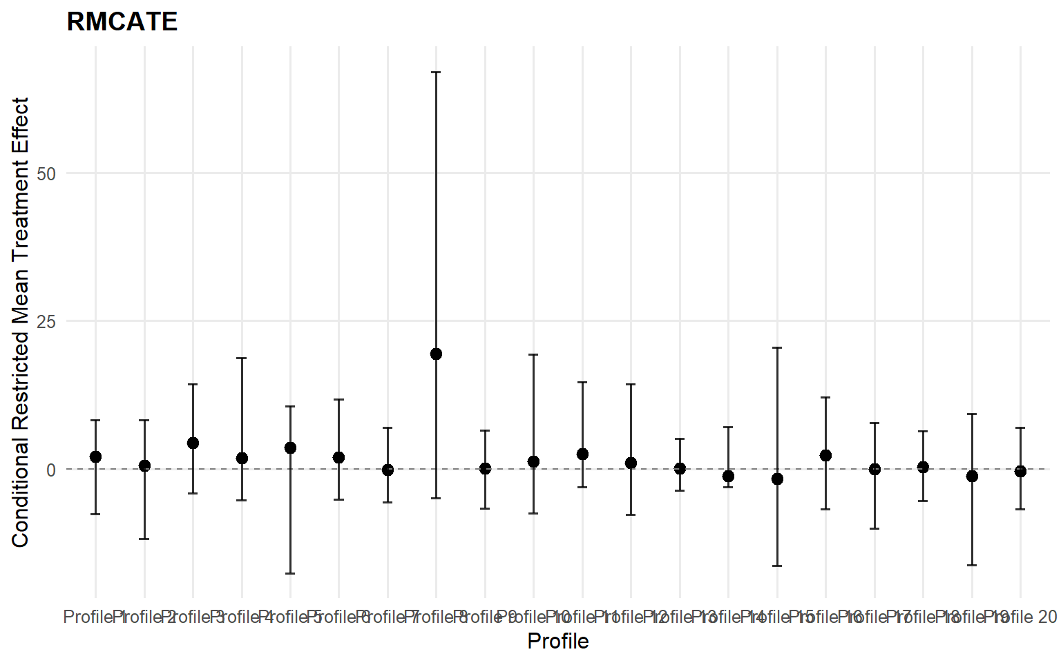
cate_crp_sb <- cate(
  fit_crp_sb,
  type = "rmean",
  cutoff = rmean_cutoff_ex13,
  newdata = x_eval,
  interval = "credible",
  nsim_mean = nsim_mean_ex13
)
head(format_cate_table(cate_crp_sb))
  id index  estimate      lower     upper
1  1     1 2.0712056  -7.601197  8.232255
2  2     1 0.5246956 -11.766421  8.257291
3  3     1 4.3585056  -4.097305 14.317757
4  4     1 1.8263269  -5.285917 18.786957
5  5     1 3.5740492 -17.630042 10.558621
6  6     1 1.9830236  -5.209355 11.786967
Code
plot(cate_crp_sb)

Code
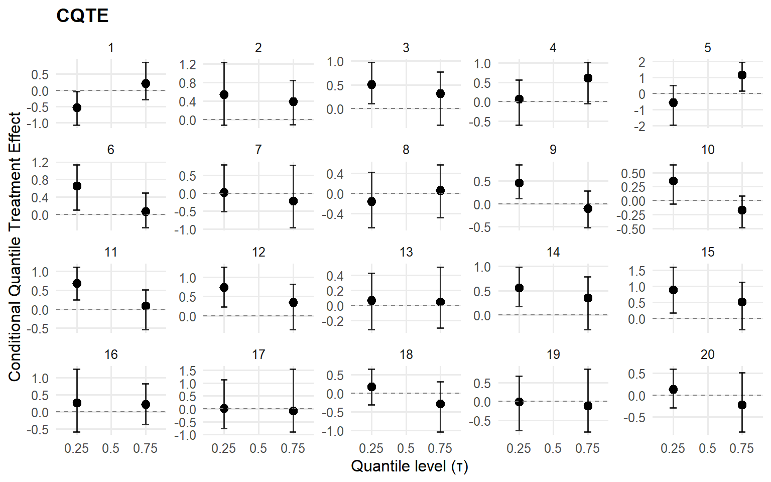
cqte_crp_sb <- cqte(fit_crp_sb, probs = c(0.25, 0.5, 0.75),
                   newdata = x_eval, interval = "credible")
head(format_cqte_table(cqte_crp_sb))
  id index   estimate      lower       upper
1  1     1 -0.5323511 -1.0682313 -0.04068125
2  1     2        NaN         NA          NA
3  1     3  0.2101863 -0.2865770  0.85255201
4  2     1  0.5353392 -0.1215984  1.22619823
5  2     2        NaN         NA          NA
6  2     3  0.3822083 -0.1154588  0.83868138
Code
plot(cqte_crp_sb)


Workflow Navigation

  • Previous: ex12-causal-same-backend-sb
  • Next: ex14-causal-different-backends-sb
  • Workflow index: Roadmap
  • Practical entry: Examples

Prereqs

  • Required packages and data for this page are listed in the setup chunks above.

Outputs

  • This page renders model fits, diagnostics, and summary artifacts generated by package APIs.

Interpretation

  • Canonical concept page: 03 Causal Inference Objects
  • Treat this page as an application/example view and use the canonical page for core definitions.

Next

  • Continue to the linked canonical concept page, then return for implementation-specific details.
(c) CausalMixGPD - Bayesian semiparametric modeling for heavy-tailed data
- - Cite - API - GitHub