CausalMixGPD
  • Home
  • Roadmaps
    • Website roadmap
    • Package roadmap
  • Start
    • Start Hub
    • Roadmap
    • Usage Diagrams
    • Start Here
    • Basic Compile and Run
    • Backends and Workflow
    • Troubleshooting
  • Tracks
    • Quickstart
    • Modeling (1-arm)
    • Causal
    • Clustering
    • Kernels & tails
    • Customization
  • Examples
  • Kernels
  • Advanced
  • Developers
  • Reference
    • Reference hub
    • Function reference by job
  • News
  • Cite
  • Coverage
  • API Reference

ex14. Causal (Different backends, SB Backend) - Amoroso Kernel

Website workflow note. This page reflects the current exported API and recommended wrapper-first usage. Last updated: 2026-02-19.

For the full package narrative, see the main package vignettes (basic, unconditional, conditional, and causal).

Causal Inference: Mixed Backends with GPD - Amoroso Kernel

This vignette fits two mixed-backend causal models with GPD tails and an Amoroso kernel:

  • Model A: Treated = SB, Control = CRP
  • Model B: Treated = CRP, Control = SB

We shift y to keep outcomes in a stable positive range.

What you’ll learn

  • How to fit mixed-backend causal models when outcomes are shifted positive and modeled with Amoroso bulk + GPD tails.

  • How tail augmentation influences survival/quantile predictions and downstream effect summaries.

  • How to keep model comparisons interpretable by reusing the same causal S3 workflow. ## When to use this template

  • Outcomes are (or can be made) positive and you need a bulk family like Amoroso plus an explicit extreme-tail model.

  • You want a stress-test style causal analysis where extremes matter and may differ by treatment arm. ## Key limitation (important)

Shifting outcomes changes the scale: interpret effects on the shifted scale (or transform back carefully if you need original-scale statements). ## Next steps

  • Compare against the bulk-only mixed-backend setup to isolate the incremental impact of GPD = TRUE.

Data Setup

Code
data("causal_alt_real500_p4_k2")
y_raw <- causal_alt_real500_p4_k2$y
A <- causal_alt_real500_p4_k2$A
X <- as.matrix(causal_alt_real500_p4_k2$X)

shift <- abs(min(y_raw)) + 0.1
y <- y_raw + shift

summary_tbl <- tibble(
  statistic = c("N", "Mean", "SD", "Min", "Max"),
  value = c(length(y), mean(y), sd(y), min(y), max(y))
)

summary_tbl
# A tibble: 5 × 2
  statistic    value
  <chr>        <dbl>
1 N         500     
2 Mean        8.46  
3 SD          1.76  
4 Min         0.1000
5 Max        13.5   
Code
x_eval <- X[seq_len(if (isTRUE(FAST)) 20L else 40L), , drop = FALSE]
y_eval <- y[seq_len(if (isTRUE(FAST)) 20L else 40L)]
u_threshold <- as.numeric(stats::quantile(y, 0.8, names = FALSE))
Code
df_causal <- data.frame(y = y, A = as.factor(A), x1 = X[, 1])

p_scatter <- ggplot(df_causal, aes(x = x1, y = y, color = A)) +
  geom_point(alpha = 0.5) +
  labs(title = "Shifted Outcome vs X1", x = "X1", y = "y (shifted)", color = "Treatment") +
  theme_minimal()

p_scatter


Model A: Treated SB, Control CRP (Amoroso + GPD)

Code
param_specs_gpd <- list(
  gpd = list(
    threshold = list(
      mode = "dist",
      dist = "lognormal",
      # Use max() to guard against log(0) = -Inf by enforcing a positive lower bound.
      args = list(meanlog = log(max(u_threshold, .Machine$double.eps)), sdlog = 0.25)
    )
  )
)

bundle_sb_crp <- bundle(
  y = y,
  treat = A,
  X = X,
  kernel = c("amoroso", "amoroso"),
  backend = c("sb", "crp"),
  PS = "logit",
  GPD = c(TRUE, TRUE),
  components = components_ex14,
  param_specs = param_specs_gpd,
  mcmc_outcome = gpd_mcmc_ex14,
  mcmc_ps = mcmc_ps_ex14
)

bundle_sb_crp
CausalMixGPD causal bundle
PS model: Bayesian logit (A | X) 
      Field                Treated                    Control
    Backend Stick-Breaking Process Chinese Restaurant Process
     Kernel                amoroso                    amoroso
 Components                      3                          3
   GPD tail                   TRUE                       TRUE
    Epsilon                  0.025                      0.025

Outcome PS included: TRUE 
n (control) = 232 | n (treated) = 268 
Code
summary(bundle_sb_crp)
CausalMixGPD causal bundle summary
CausalMixGPD causal bundle
PS model: Bayesian logit (A | X) 
      Field                Treated                    Control
    Backend Stick-Breaking Process Chinese Restaurant Process
     Kernel                amoroso                    amoroso
 Components                      3                          3
   GPD tail                   TRUE                       TRUE
    Epsilon                  0.025                      0.025

Outcome PS included: TRUE 
n (control) = 232 | n (treated) = 268 
Code
fit_sb_crp <- load_or_fit(
  tag_sb_crp_ex14,
  quiet_mcmc(dpmgpd.causal(bundle_sb_crp, mcmc = causal_run_mcmc))
)
summary(fit_sb_crp)
-- PS fit --
CausalMixGPD PS fit summary
model: logit 
n = 500 | predictors = 5
Monitors: beta 

Summary table
 parameter  mean    sd q0.025 q0.500 q0.975
   beta[1]  0.11  0.25 -0.271 -0.091  0.456
   beta[2] 0.474   0.1  0.253  0.509  0.576
   beta[3] 0.394 0.186  0.135  0.395  0.656
   beta[4] -0.15 0.048 -0.277 -0.117 -0.117
   beta[5] 0.101 0.365  -0.42  0.134   0.74

-- Outcome fits --
[control]
MixGPD summary | backend: Chinese Restaurant Process | kernel: Amoroso Distribution | GPD tail: TRUE | epsilon: 0.025
n = 232 | components = 3
Summary
Initial components: 3 | Components after truncation: 1

WAIC: 995.699
lppd: -485.221 | pWAIC: 12.629

Summary table
          parameter   mean    sd q0.025 q0.500 q0.975
         weights[1]      1     0      1      1      1
              alpha  0.192 0.186  0.008  0.123  0.712
 beta_tail_scale[1]  0.089 0.082 -0.055  0.074  0.265
 beta_tail_scale[2]  0.059 0.119 -0.216  0.066  0.272
 beta_tail_scale[3]  0.023 0.087 -0.145  0.032  0.159
 beta_tail_scale[4]  0.365 0.159  0.084  0.376  0.681
         tail_shape -0.234 0.047  -0.28 -0.242 -0.081
          threshold  9.492 0.014  9.454  9.488  9.504
          shape1[1]    5.2 0.283  4.814  5.245  5.585
          shape2[1]  0.705 0.005  0.705  0.705  0.705
      beta_loc[1,1] -0.943  0.16 -1.328 -0.943 -0.721
      beta_loc[1,2]  0.119 0.389 -0.708  0.213  0.559
      beta_loc[1,3]  1.118 0.164  0.719  1.146  1.323
      beta_loc[1,4]  4.761 1.003  2.042  5.202  5.328
    beta_scale[1,1] -0.146 0.168 -0.421 -0.159  0.126
    beta_scale[1,2] -0.278 0.117 -0.489 -0.269 -0.081
    beta_scale[1,3] -0.221 0.083 -0.331 -0.246  0.002
    beta_scale[1,4] -1.082  0.28 -1.437 -1.158 -0.398

[treated]
MixGPD summary | backend: Stick-Breaking Process | kernel: Amoroso Distribution | GPD tail: TRUE | epsilon: 0.025
n = 268 | components = 3
Summary
Initial components: 3 | Components after truncation: 2

Summary table
          parameter   mean    sd q0.025 q0.500 q0.975
         weights[1]  0.783 0.016  0.759  0.774  0.799
         weights[2]   0.17 0.012  0.156  0.167  0.201
              alpha  1.004 0.566  0.253  1.022  2.199
 beta_tail_scale[1]  0.039 0.061 -0.097  0.049  0.153
 beta_tail_scale[2] -0.011 0.097 -0.165  -0.02  0.172
 beta_tail_scale[3]  0.048 0.076  -0.09  0.041  0.193
 beta_tail_scale[4]  1.061  0.12  0.837   1.06   1.24
         tail_shape  -0.02 0.019 -0.046 -0.028   0.01
          threshold  7.173 0.105  6.827  7.204  7.204
          shape1[1]  7.602 0.411  6.985  7.536  8.316
          shape1[2]  5.569 1.256  2.787  5.513  7.623
          shape2[1]  0.888 0.007  0.871   0.89   0.89
          shape2[2]   0.27  0.12  0.112  0.289  0.452
      beta_loc[1,1]      0     0      0      0      0
      beta_loc[1,2]      0     0      0      0      0
      beta_loc[1,3]      0     0      0      0      0
      beta_loc[1,4]      0     0      0      0      0
      beta_loc[2,1]      0     0      0      0      0
      beta_loc[2,2]      0     0      0      0      0
      beta_loc[2,3]      0     0      0      0      0
      beta_loc[2,4]      0     0      0      0      0
    beta_scale[1,1] -0.303 0.122 -0.518 -0.299 -0.095
    beta_scale[1,2] -0.303 0.099 -0.468  -0.31  -0.09
    beta_scale[1,3]   0.13 0.064  0.025  0.133  0.243
    beta_scale[1,4]  -0.13 0.133 -0.367  -0.14  0.089
    beta_scale[2,1]  0.706 1.551 -1.923  0.563   3.96
    beta_scale[2,2]  0.037 1.654 -3.141  0.081  3.161
    beta_scale[2,3] -0.626 1.069 -2.831 -0.828  1.321
    beta_scale[2,4]   1.32 2.616 -3.322  1.316  6.291
Code
params(fit_sb_crp)
Posterior mean parameters (causal)

[ps]
Posterior mean parameters

$beta
[1]  0.1103  0.4739  0.3935 -0.1501  0.1015

[treated]
Posterior mean parameters

$alpha
[1] 1.004

$w
[1] 0.7825 0.1704

$beta_loc
      PropScore x1 x2 x3 x4
comp1         0  0  0  0  0
comp2         0  0  0  0  0

$beta_scale
      PropScore      x1       x2      x3      x4
comp1  0.730200 -0.3029 -0.30320  0.1301 -0.1296
comp2  0.002732  0.7057  0.03679 -0.6260  1.3200

$shape1
[1] 7.602 5.569

$shape2
[1] 0.8878 0.2705

$threshold
[1] 7.173

$beta_tail_scale
             x1       x2      x3    x4
overall 0.03919 -0.01077 0.04789 1.061

$tail_shape
[1] -0.02018

[control]
Posterior mean parameters

$alpha
[1] 0.1923

$w
[1] 1

$beta_loc
      PropScore      x1     x2    x3    x4
comp1     2.473 -0.9426 0.1194 1.118 4.761

$beta_scale
      PropScore      x1     x2      x3     x4
comp1   0.08794 -0.1462 -0.278 -0.2206 -1.082

$shape1
[1] 5.2

$shape2
[1] 0.7054

$threshold
[1] 9.492

$beta_tail_scale
             x1      x2    x3     x4
overall 0.08891 0.05928 0.023 0.3646

$tail_shape
[1] -0.2335
Code
plot(fit_sb_crp, family = plot_family_sb_crp_ex14)

=== treated ===

=== traceplot ===


=== control ===

=== traceplot ===

Code
pred_mean_sb_crp <- predict(fit_sb_crp, newdata =x_eval, type = "mean",
                            interval = "credible", nsim_mean = nsim_mean_ex14, workers = predict_workers_ex14)
plot(pred_mean_sb_crp)

Code
pred_q_sb_crp <- predict(fit_sb_crp, newdata =x_eval, type = "quantile",
                         p = 0.5, interval = "credible", workers = predict_workers_ex14)
plot(pred_q_sb_crp)

Code
pred_d_sb_crp <- predict(fit_sb_crp, newdata =x_eval, y = y_eval,
                         type = "density", interval = "credible", workers = predict_workers_ex14)
plot(pred_d_sb_crp)

Code
pred_surv_sb_crp <- predict(fit_sb_crp, newdata =x_eval, y = y_eval,
                            type = "survival", interval = "credible", workers = predict_workers_ex14)
plot(pred_surv_sb_crp)

Code
ate_sb_crp <- ate(fit_sb_crp, interval = "credible", nsim_mean = nsim_mean_ex14)
plot(ate_sb_crp)

Code
qte_sb_crp <- qte(fit_sb_crp, probs = c(0.25, 0.5, 0.75), interval = "credible")
plot(qte_sb_crp)


Model B: Treated CRP, Control SB (Amoroso + GPD)

Code
bundle_crp_sb <- bundle(
  y = y,
  treat = A,
  X = X,
  kernel = c("amoroso", "amoroso"),
  backend = c("crp", "sb"),
  PS = "logit",
  GPD = c(TRUE, TRUE),
  components = components_ex14,
  param_specs = param_specs_gpd,
  mcmc_outcome = gpd_mcmc_ex14_b,
  mcmc_ps = mcmc_ps_ex14_b
)

bundle_crp_sb
CausalMixGPD causal bundle
PS model: Bayesian logit (A | X) 
      Field                    Treated                Control
    Backend Chinese Restaurant Process Stick-Breaking Process
     Kernel                    amoroso                amoroso
 Components                          3                      3
   GPD tail                       TRUE                   TRUE
    Epsilon                      0.025                  0.025

Outcome PS included: TRUE 
n (control) = 232 | n (treated) = 268 
Code
summary(bundle_crp_sb)
CausalMixGPD causal bundle summary
CausalMixGPD causal bundle
PS model: Bayesian logit (A | X) 
      Field                    Treated                Control
    Backend Chinese Restaurant Process Stick-Breaking Process
     Kernel                    amoroso                amoroso
 Components                          3                      3
   GPD tail                       TRUE                   TRUE
    Epsilon                      0.025                  0.025

Outcome PS included: TRUE 
n (control) = 232 | n (treated) = 268 
Code
fit_crp_sb <- load_or_fit(
  tag_crp_sb_ex14,
  quiet_mcmc(dpmgpd.causal(bundle_crp_sb, mcmc = causal_run_mcmc))
)
summary(fit_crp_sb)
-- PS fit --
CausalMixGPD PS fit summary
model: logit 
n = 500 | predictors = 5
Monitors: beta 

Summary table
 parameter   mean    sd q0.025 q0.500 q0.975
   beta[1]  0.021 0.082 -0.056 -0.005  0.144
   beta[2]  0.458 0.082  0.324  0.451  0.607
   beta[3]   0.27 0.197 -0.042  0.216  0.544
   beta[4] -0.149 0.065 -0.303 -0.107  -0.07
   beta[5]  0.277 0.149 -0.228  0.348   0.48

-- Outcome fits --
[control]
MixGPD summary | backend: Stick-Breaking Process | kernel: Amoroso Distribution | GPD tail: TRUE | epsilon: 0.025
n = 232 | components = 3
Summary
Initial components: 3 | Components after truncation: 3

Summary table
          parameter   mean    sd q0.025 q0.500 q0.975
         weights[1]  0.493 0.014  0.487  0.487  0.527
         weights[2]  0.452  0.03  0.409  0.474  0.474
         weights[3]  0.055 0.023  0.038  0.038  0.099
              alpha  1.831 0.884  0.563  1.628  3.332
 beta_tail_scale[1] -0.053 0.056  -0.16 -0.052  0.052
 beta_tail_scale[2] -0.028 0.101 -0.185 -0.028   0.14
 beta_tail_scale[3] -0.045 0.049 -0.133  -0.04  0.033
 beta_tail_scale[4]  0.889 0.142   0.65  0.905  1.166
         tail_shape -0.077 0.022 -0.134 -0.084 -0.059
          threshold  7.544     0  7.544  7.544  7.544
          shape1[1]  5.107 0.924  4.032  4.943  7.146
          shape1[2]  7.159 1.559  5.078  7.293  9.654
          shape1[3]  2.642 1.475  0.238  2.694  5.982
          shape2[1]   0.47 0.071  0.382  0.508  0.536
          shape2[2]  0.985 0.028  0.955  0.971  1.016
          shape2[3]  1.119 1.165  0.131  0.495  3.515
      beta_loc[1,1]      0     0      0      0      0
      beta_loc[1,2]      0     0      0      0      0
      beta_loc[1,3]      0     0      0      0      0
      beta_loc[1,4]      0     0      0      0      0
      beta_loc[2,1]      0     0      0      0      0
      beta_loc[2,2]      0     0      0      0      0
      beta_loc[2,3]      0     0      0      0      0
      beta_loc[2,4]      0     0      0      0      0
      beta_loc[3,1]      0     0      0      0      0
      beta_loc[3,2]      0     0      0      0      0
      beta_loc[3,3]      0     0      0      0      0
      beta_loc[3,4]      0     0      0      0      0
    beta_scale[1,1] -0.263  0.47 -1.084 -0.277   0.76
    beta_scale[1,2]  0.429 0.735 -0.884  0.354  1.616
    beta_scale[1,3] -0.139 0.438 -0.795 -0.267   0.72
    beta_scale[1,4]  2.034 1.116  0.011  1.949  4.311
    beta_scale[2,1]  0.083 0.106  -0.15  0.072  0.259
    beta_scale[2,2]  0.051 0.107 -0.125  0.041   0.26
    beta_scale[2,3] -0.065 0.063 -0.194 -0.063  0.049
    beta_scale[2,4]  0.365 0.372 -0.275  0.254  0.993
    beta_scale[3,1] -0.287 2.184 -4.546 -0.539  4.407
    beta_scale[3,2] -0.271 2.018 -3.948 -0.152  3.665
    beta_scale[3,3] -0.127 1.554 -2.804 -0.451  3.516
    beta_scale[3,4]  1.636 2.272 -2.587  1.848  5.503

[treated]
MixGPD summary | backend: Chinese Restaurant Process | kernel: Amoroso Distribution | GPD tail: TRUE | epsilon: 0.025
n = 268 | components = 3
Summary
Initial components: 3 | Components after truncation: 1

WAIC: 100140.928
lppd: -501.379 | pWAIC: 49569.085

Summary table
          parameter   mean    sd q0.025 q0.500 q0.975
         weights[1]  0.841  0.17  0.567  0.918      1
              alpha  0.467  0.31  0.066  0.396  1.281
 beta_tail_scale[1]  0.043 0.079 -0.094  0.047   0.19
 beta_tail_scale[2] -0.153 0.121 -0.389 -0.144  0.088
 beta_tail_scale[3]  0.201 0.104  -0.02  0.204  0.398
 beta_tail_scale[4]  0.339 0.164  0.056  0.345  0.593
         tail_shape -0.104 0.026 -0.173 -0.102 -0.076
          threshold  9.028 0.072  9.003  9.003  9.292
          shape1[1]  6.772 0.785   4.73  7.022  7.499
          shape2[1]  0.875 0.018  0.861  0.861  0.908
      beta_loc[1,1]  0.566 1.416 -2.103  1.346  1.968
      beta_loc[1,2] -1.465 0.437 -2.125 -1.309 -0.617
      beta_loc[1,3] -0.953 0.237 -1.258 -0.838  -0.61
      beta_loc[1,4]  2.465 0.685   1.19  2.625  3.389
    beta_scale[1,1] -0.298 0.223  -0.61 -0.359   0.21
    beta_scale[1,2]   0.15 0.159 -0.151  0.186  0.448
    beta_scale[1,3]  0.216 0.052  0.133  0.213  0.327
    beta_scale[1,4] -0.528 0.234 -0.866 -0.558   0.05
Code
params(fit_crp_sb)
Posterior mean parameters (causal)

[ps]
Posterior mean parameters

$beta
[1]  0.02086  0.45850  0.27050 -0.14870  0.27740

[treated]
Posterior mean parameters

$alpha
[1] 0.4674

$w
[1] 0.8415

$beta_loc
      PropScore    x1     x2      x3    x4
comp1    0.8991 0.566 -1.465 -0.9532 2.465

$beta_scale
      PropScore      x1     x2     x3      x4
comp1    0.3048 -0.2978 0.1501 0.2158 -0.5283

$shape1
[1] 6.772

$shape2
[1] 0.8754

$threshold
[1] 9.028

$beta_tail_scale
             x1      x2     x3     x4
overall 0.04303 -0.1532 0.2008 0.3389

$tail_shape
[1] -0.1039

[control]
Posterior mean parameters

$alpha
[1] 1.831

$w
[1] 0.49320 0.45200 0.05482

$beta_loc
      PropScore x1 x2 x3 x4
comp1         0  0  0  0  0
comp2         0  0  0  0  0
comp3         0  0  0  0  0

$beta_scale
      PropScore       x1      x2       x3     x4
comp1   0.38570 -0.26260  0.4291 -0.13890 2.0340
comp2  -0.27440  0.08262  0.0505 -0.06538 0.3653
comp3  -0.02691 -0.28680 -0.2711 -0.12710 1.6360

$shape1
[1] 5.107 7.159 2.642

$shape2
[1] 0.4696 0.9845 1.1190

$threshold
[1] 7.544

$beta_tail_scale
              x1       x2       x3     x4
overall -0.05256 -0.02801 -0.04545 0.8895

$tail_shape
[1] -0.07651
Code
plot(fit_crp_sb, family = plot_family_crp_sb_ex14)

=== treated ===

=== density ===


=== control ===

=== density ===

Code
pred_mean_crp_sb <- predict(fit_crp_sb, newdata =x_eval, type = "mean",
                            interval = "credible", nsim_mean = nsim_mean_ex14, workers = predict_workers_ex14)
plot(pred_mean_crp_sb)

Code
pred_q_crp_sb <- predict(fit_crp_sb, newdata =x_eval, type = "quantile",
                         p = 0.5, interval = "credible", workers = predict_workers_ex14)
plot(pred_q_crp_sb)

Code
pred_d_crp_sb <- predict(fit_crp_sb, newdata =x_eval, y = y_eval,
                         type = "density", interval = "credible", workers = predict_workers_ex14)
plot(pred_d_crp_sb)

Code
pred_surv_crp_sb <- predict(fit_crp_sb, newdata =x_eval, y = y_eval,
                            type = "survival", interval = "credible", workers = predict_workers_ex14)
plot(pred_surv_crp_sb)

Code
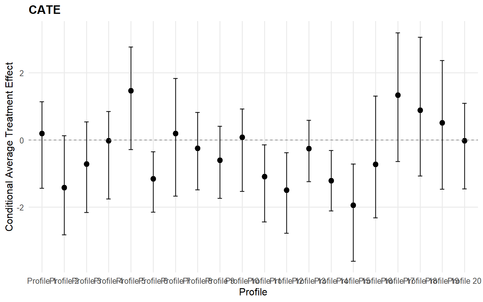
cate_crp_sb <- cate(fit_crp_sb, newdata = x_eval,
                   interval = "credible", nsim_mean = nsim_mean_ex14)
head(format_cate_table(cate_crp_sb))
  id index    estimate      lower      upper
1  1     1  0.18953974 -1.4347426  1.1397729
2  2     1 -1.41838105 -2.8257883  0.1279135
3  3     1 -0.71391510 -2.1527255  0.5422384
4  4     1 -0.02181351 -1.7503993  0.8510921
5  5     1  1.46568595 -0.2840095  2.7674652
6  6     1 -1.15685357 -2.1452202 -0.3455291
Code
plot(cate_crp_sb)

Code
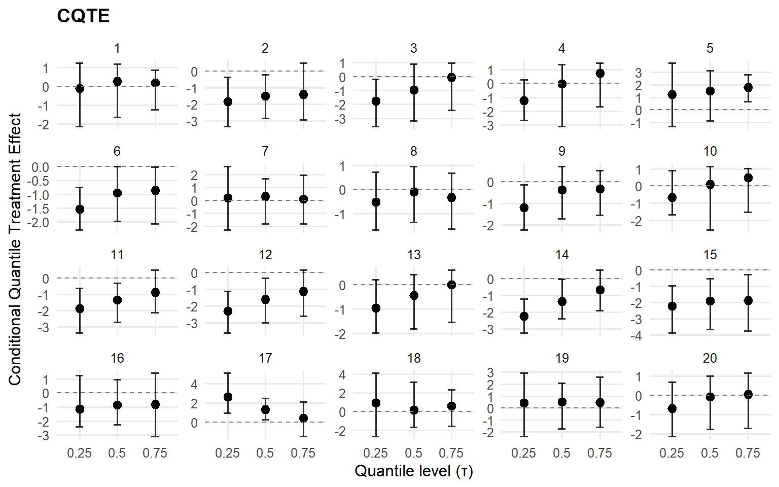
cqte_crp_sb <- cqte(fit_crp_sb, probs = c(0.25, 0.5, 0.75),
                   newdata = x_eval, interval = "credible")
head(format_cqte_table(cqte_crp_sb))
  id index   estimate     lower      upper
1  1     1 -0.1229123 -2.135624  1.2259354
2  1     2  0.2534521 -1.649174  1.1700091
3  1     3  0.1790422 -1.239670  0.8398795
4  2     1 -1.8316943 -3.343504 -0.3658125
5  2     2 -1.5103598 -2.865960 -0.1963388
6  2     3 -1.4044933 -2.934697  0.5036670
Code
plot(cqte_crp_sb)


Workflow Navigation

  • Previous: ex13-causal-different-backends-crp
  • Next: ex15-clustering-dpmgpd-weights
  • Workflow index: Roadmap
  • Practical entry: Examples

Prereqs

  • Required packages and data for this page are listed in the setup chunks above.

Outputs

  • This page renders model fits, diagnostics, and summary artifacts generated by package APIs.

Interpretation

  • Canonical concept page: 03 Causal Inference Objects
  • Treat this page as an application/example view and use the canonical page for core definitions.

Next

  • Continue to the linked canonical concept page, then return for implementation-specific details.
(c) CausalMixGPD - Bayesian semiparametric modeling for heavy-tailed data
- - Cite - API - GitHub